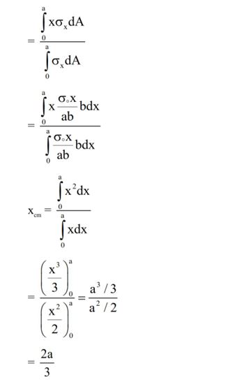
The centre of mass of a thin rectangular plate (fig – x) with sides of length a and b, whose mass per unit area

Table of Contents

📘Question

The centre of mass of a thin rectangular plate (fig – x) with sides of length a and b, whose mass per unit area () varies as = 0 x ab  (where 0 is a constant), would be______   

                                                               (JEE-2025)

✅ Answer

The centre of mass of a thin rectangular plate (fig - x) with sides of length a and b, whose mass per unit area () varies as = 0 x ab  (where 0 is a constant), would be

🚀 Learn more at BhautikStudy.com

📘 This content is provided by Bhautik Study — for CBSE, JEE, and NEET physics preparation.
Visit: www.bhautikstudy.com