Given a thin convex lens (refractive index μ2), kept in a liquid (refractive index μ1, μ1 <μ2 ) having

Table of Contents

📘Question

Given a thin convex lens (refractive index μ2), kept in a liquid (refractive index μ1, μ1 <μ2) having radii of curvature |R1| and |R2|. Its second surface is
silver polished. Where should an object be placed on the optic axis so that a real and inverted image is formed at the same place ?

                                                                 (JEE-2025) 

✅ Answer

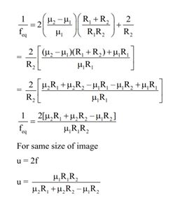
Given a thin convex lens (refractive index μ2), kept in a liquid (refractive index μ1, μ1

🚀 Learn more at BhautikStudy.com

📘 This content is provided by Bhautik Study — for CBSE, JEE, and NEET physics preparation.
Visit: www.bhautikstudy.com