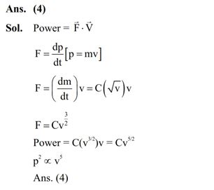
A sand dropper drops sand of mass m(t) on a conveyer belt at a rate proportional to the square root of speed (v) of the belt, i.e. dm v dt . If P is the power delivered to run the belt at constant speed then which of the following relationship is true